| 2022-08-25 |
| ← gildasio left | 00:00 |
| → atrigent_ joined | 00:02 |
| → gildasio joined | 00:02 |
| ← YuGiOhJCJ left | 00:02 |
| ← gildasio left | 00:02 |
| ← atrigent left | 00:03 |
| → thiago joined | 00:03 |
| → gildasio joined | 00:03 |
| → nate4 joined | 00:09 |
|
cousteau
| shailangsa: if a commit doesn't change, its hash won't change | 00:12 |
|
| if a commit changes, e.g. because you amend it, its hash will change | 00:12 |
| ← nate4 left | 00:14 |
| ← rama left | 00:14 |
| ← loulou left | 00:15 |
|
cousteau
| a commit is a file (an object, rather) that contains: (1) a snapshot of the worktree, (2) a reference to its parent commit(s), (3) meta-info (who and when created the commit), and (4) a commit message | 00:16 |
|
| for example, you can print the content of the HEAD commit by doing: git cat-file -p HEAD | 00:17 |
| → GNUmoon2 joined | 00:20 |
| ← rgrinberg left | 00:20 |
| ← tirnanog left | 00:20 |
|
cousteau
| the hash of that "file" is the hash of the commit | 00:21 |
|
| in fact, the hash is simply the sha1sum of a file containing the object type ("commit"), a space, the object content size, a null char, and the object content | 00:23 |
|
| { printf '%s %s\0' "$(git cat-file -t HEAD)" "$(git cat-file -s HEAD)"; git cat-file -p HEAD; } | sha1sum # prints the hash of HEAD | 00:25 |
| → rgrinberg joined | 00:26 |
|
cousteau
| so, if you change (1) the content of the tree, (2) any reference to parent commits, or the hash of the parent commits, (3) author/committer name and date, or (4) the commit message, the hash will change. | 00:26 |
|
Hash
| Sigh. | 00:26 |
|
cousteau
| if you don't, it won't. | 00:26 |
|
| Hash: hey, you knew the risks when you chose that nick | 00:26 |
|
Hash
| Bro. | 00:26 |
|
| I can't even. | 00:27 |
| → willow joined | 00:27 |
|
Hash
| Man I'm just exhausted. | 00:27 |
|
| Just... sigh. | 00:27 |
|
cousteau
| I'm sorry man, I didn't know you were here | 00:27 |
|
Hash
| It's not you, man. It's me! | 00:27 |
|
cousteau
| long day? | 00:27 |
| ← tyson2 left | 00:29 |
| ← codaraxis left | 00:30 |
| → lucasta joined | 00:30 |
| ← rgrinberg left | 00:35 |
| → atrigent joined | 00:37 |
| → rgrinberg joined | 00:37 |
| ← atrigent_ left | 00:38 |
| → dsrt^ joined | 00:40 |
| ← zebrag left | 00:40 |
|
cousteau
| I wonder if git can handle files with newlines in their name. The tree format suggests it doesn't. | 00:41 |
| ← hans_ left | 00:44 |
|
willow
| how to delete all entries that show up as 'deleted' in 'git status'? | 00:45 |
|
cousteau
| add them | 00:45 |
|
| or `git add .` to add all files in the current folder | 00:46 |
|
willow
| so i don't have to do 'git rm' for each entry? | 00:46 |
| → nate4 joined | 00:46 |
|
cousteau
| like, if you delete a file doing `rm file.txt`, then you can tell git "hey look I deleted the file" by doing `git add file.txt` | 00:47 |
|
willow
| thing is, there are other untracked entries that i don't want added. i only want to rm the ones listed as 'deleted' | 00:47 |
|
cousteau
| or `git add .` for "add/delete all the files andchanges in this directory" | 00:47 |
|
| oh | 00:47 |
|
| yeah, that'd be a problem... it would have been a better idea to delete them with `git rm` instead | 00:48 |
|
willow
| saw this suggested online but doesn't work: git rm "$(git status | grep deleted | awk '{print $2}')" | 00:48 |
|
cousteau
| there are probably better ways | 00:48 |
|
| at the very least, I'd recommend using `git status --porcelain` if you're going to use the output in a script like that | 00:49 |
| ← arescorpio left | 00:50 |
| → Polo joined | 00:50 |
| ← LuKaRo left | 00:51 |
| → mven3 joined | 00:51 |
| ← dsrt^ left | 00:52 |
| ← Polo left | 00:52 |
| ← mven left | 00:53 |
| mven3 → mven | 00:53 |
|
cousteau
| git status --porcelain | grep '^ D ' | sed 's/^...//' (might still be quoted) | 00:54 |
| → LuKaRo_ joined | 00:55 |
|
cousteau
| ...or git ls-files --deleted | 00:55 |
|
| git ls-files --deleted | xargs git add might do the trick (unless the files have very weird names) | 00:57 |
| → hiroot joined | 00:57 |
|
willow
| well this will work: for l in "$(git status | grep deleted | cut -d " " -f 2-)"; do git rm "$l"; done | 00:57 |
|
cousteau
| it's a bit hacky; I'd recommend the `git ls-files --deleted` way rather than trying to parse the output of git status | 00:58 |
|
willow
| however there's another issue: "fatal: pathspec ' 3Ware RAID controllers/9650SE-2LP RAID controller/Download/.gitkeep" however the Download/ directory was deleted so I can't remove the .gitkeep | 00:58 |
|
cousteau
| yeah, I think you can't `git rm` that which doesn't exist... maybe try with --force | 00:59 |
|
| but I think my method is a better idea | 00:59 |
|
mackerman
| git ls-files -z --deleted | xargs --null git add | 00:59 |
|
cousteau
| ah, -z to the rescue :) | 00:59 |
|
willow
| ah yes! | 01:00 |
|
cousteau
| mackerman: cool, that removes every weird formatting from git ls-files too | 01:00 |
|
| I tried it on a "file containing a newline" and it didn't print the quotes and \n it usually prints | 01:01 |
| ← chexum left | 01:04 |
| → chexum joined | 01:04 |
| ← cousteau left | 01:05 |
| ← rgrinberg left | 01:06 |
| → rgrinberg joined | 01:10 |
| ← Sasazuka left | 01:10 |
| → ChmEarl joined | 01:11 |
| ← ferdna left | 01:11 |
| → Sasazuka joined | 01:11 |
| ← skapata left | 01:11 |
| → dsrt^ joined | 01:13 |
| → redscroll joined | 01:15 |
| ← Sasazuka left | 01:16 |
| ← hiroot left | 01:18 |
| → tyson2 joined | 01:20 |
| → Sasazuka joined | 01:22 |
| ← forgotmynick left | 01:23 |
| ← lucasta left | 01:25 |
| ← rgrinberg left | 01:28 |
| ← tyson2 left | 01:30 |
| ← ZacSharp left | 01:32 |
| → tyson2 joined | 01:36 |
| ← Colere left | 01:38 |
| ← howdoi left | 01:45 |
| → rgrinberg joined | 01:48 |
| ← nate4 left | 01:49 |
| ← knolle left | 01:50 |
| ← bambanxx left | 01:53 |
| → Colere joined | 01:53 |
| ← dsrt^ left | 01:56 |
| → ghost43 joined | 01:58 |
| ← ghost43_ left | 01:59 |
| ← tyson2 left | 02:02 |
| → knolle joined | 02:04 |
| ← Sasazuka left | 02:11 |
| ← LuKaRo_ left | 02:13 |
| → vertreko joined | 02:19 |
| → dsrt^ joined | 02:23 |
| → LuKaRo joined | 02:24 |
| → nate4 joined | 02:28 |
| ← ghost43 left | 02:28 |
| ← GNUmoon2 left | 02:28 |
| → ghost43 joined | 02:28 |
| ← clime left | 02:33 |
| ← JanC left | 02:33 |
| → JanC joined | 02:33 |
| → rama joined | 02:33 |
| ← thiago left | 02:34 |
| ← dsrt^ left | 02:35 |
| ← rama left | 02:38 |
| ← keypusher left | 02:40 |
| ← derpydoo left | 02:40 |
| ← terrorjack left | 02:42 |
| → terrorjack joined | 02:42 |
| → keypusher joined | 02:43 |
| → gast0n joined | 02:45 |
| → tyson2 joined | 02:47 |
| ← cdown left | 02:49 |
| ← redscroll left | 03:05 |
| → The_Blode joined | 03:17 |
| ← Misotauros left | 03:18 |
| → Betal joined | 03:26 |
| ← atrigent left | 03:28 |
| → Misotauros joined | 03:33 |
| → atrigent joined | 03:33 |
| ← nate4 left | 03:38 |
| ← gast0n left | 03:39 |
| → TheCatBehemoth joined | 03:45 |
| → atrigent_ joined | 03:46 |
| ← atrigent left | 03:46 |
| ← rgrinberg left | 03:54 |
| ← ChmEarl left | 04:01 |
| → cristiioan joined | 04:02 |
| → nate4 joined | 04:04 |
| → clime joined | 04:06 |
| → sympt joined | 04:14 |
| ← nate4 left | 04:15 |
| ← tyson2 left | 04:17 |
| ← chemsmith left | 04:18 |
| → chemsmith joined | 04:20 |
| ← vertreko left | 04:21 |
| → stewie925 joined | 04:23 |
| ← human_g33k left | 04:27 |
| → human_g33k joined | 04:29 |
| ← bloody left | 04:33 |
| ← TheCatBehemoth left | 04:37 |
| → EvilDMP joined | 04:41 |
| ← Night_Wulfe left | 04:46 |
| → pulse joined | 04:48 |
| → nate4 joined | 04:49 |
| → FH_thecat joined | 04:54 |
| ← nate4 left | 04:54 |
| → firewyre joined | 04:55 |
| → lgc joined | 04:58 |
| ← cristiioan left | 04:59 |
| ← lgc left | 04:59 |
| ← firewyre left | 05:01 |
| → firewyre joined | 05:02 |
| → SteveR joined | 05:02 |
| ← atrigent_ left | 05:03 |
|
SteveR
| Hi, i tried to do a git push, and i got a message that the tip of the current branch is behind | 05:03 |
|
| when i did a git pull | 05:03 |
|
| it says You have divergent branches and need to specify how to reconcile them. | 05:03 |
|
| what needs to be done here before i do a push? | 05:03 |
| → srinidhi joined | 05:03 |
| → atrigent joined | 05:07 |
|
SteveR
| tried this git pull --ff-only | 05:10 |
|
| but i get an error saying fatal: Not possible to fast-forward, aborting. | 05:10 |
| ← hbautista left | 05:13 |
| ← jazzy left | 05:16 |
| → maret joined | 05:18 |
|
SteveR
| tried git push -f, and it worked | 05:18 |
| ← maret left | 05:19 |
|
themill
| you just delete the remote work. | 05:20 |
| → maret joined | 05:20 |
| ← Murr left | 05:20 |
| → Murr joined | 05:21 |
| → coot joined | 05:21 |
| ← EvilDMP left | 05:22 |
| ← Betal left | 05:22 |
| → Night_Wulfe joined | 05:24 |
| ← coot left | 05:25 |
| → coot joined | 05:26 |
| → EvilDMP joined | 05:27 |
| → zeenk joined | 05:28 |
| → coot_ joined | 05:30 |
| ← EvilDMP left | 05:31 |
| ← coot left | 05:32 |
| ← coot_ left | 05:34 |
| ← pulse left | 05:35 |
| → coot joined | 05:37 |
| → enkeyz joined | 05:40 |
| ← coot left | 05:46 |
| → coot joined | 05:48 |
| ← srinidhi left | 05:49 |
| ← reset left | 05:51 |
| → reset joined | 05:52 |
| ← hamburgler left | 05:52 |
| ← coot left | 05:54 |
| → carl-- joined | 05:55 |
| ← carl-- left | 05:57 |
| → coot joined | 05:57 |
| → carl-- joined | 05:57 |
| ← bn_work left | 06:00 |
| → laocid joined | 06:01 |
| ← coot left | 06:01 |
| → Hi-Angel joined | 06:03 |
| → coot joined | 06:04 |
| → vlado joined | 06:07 |
| → srinidhi joined | 06:07 |
| → thebombzen joined | 06:07 |
| → igemnace joined | 06:08 |
| ← coot left | 06:14 |
| → coot joined | 06:17 |
| → Sazhen86 joined | 06:21 |
| ← coot left | 06:23 |
| → coot joined | 06:26 |
| ← coot left | 06:26 |
| ← vlado left | 06:31 |
| ← sudoforge left | 06:31 |
| → mbalmer joined | 06:33 |
| → otisolsen70 joined | 06:37 |
| ← stewie925 left | 06:38 |
| → coot joined | 06:39 |
| ← srinidhi left | 06:42 |
| → rullie joined | 06:43 |
| → ulmanak joined | 06:47 |
| ← coot left | 06:48 |
| ← luffy left | 06:50 |
| → rfuentess joined | 06:50 |
| → coot joined | 06:51 |
| ← SteveR left | 06:52 |
| → nate4 joined | 06:52 |
| → srinidhi joined | 06:54 |
| ← gryffus left | 06:56 |
| ← nate4 left | 06:57 |
| → theoceaniscool joined | 06:59 |
| ← FH_thecat left | 06:59 |
| → Bjoi joined | 06:59 |
| → OnkelTem joined | 07:01 |
| ← Sazhen86 left | 07:02 |
| → peirik joined | 07:03 |
| → mven1 joined | 07:06 |
| ← mven left | 07:08 |
| mven1 → mven | 07:08 |
| ← vicecea left | 07:10 |
| → vicecea joined | 07:11 |
| → gryffus joined | 07:14 |
| ← OnkelTem left | 07:24 |
| ← peirik left | 07:24 |
| ← zan left | 07:26 |
| → hiroot joined | 07:33 |
| → zan joined | 07:33 |
| → nyah joined | 07:35 |
| → feriman joined | 07:38 |
| → vlado joined | 07:39 |
| ← laocid left | 07:52 |
| → RiFo joined | 07:54 |
| → hqdruxn08_ joined | 07:55 |
| ← hqdruxn08_ left | 07:56 |
| ← hqdruxn08 left | 07:58 |
| → dsrt^ joined | 07:58 |
| → peirik joined | 08:01 |
| → Sazhen86 joined | 08:02 |
| ← peirik left | 08:08 |
| ← dsrt^ left | 08:12 |
| ← Bjoi left | 08:14 |
| → laocid joined | 08:19 |
| → cyber_heretic joined | 08:25 |
| ← cyber_heretic left | 08:29 |
| → cart_ joined | 08:29 |
| ← xayto left | 08:34 |
| ← laocid left | 08:37 |
| → luffy joined | 08:41 |
| → OnkelTem joined | 08:46 |
| → peirik joined | 08:48 |
| → pulse joined | 08:48 |
| → xayto joined | 08:52 |
| → cristiioan joined | 08:54 |
| ← adanwan left | 09:05 |
| → adanwan joined | 09:05 |
| ← crabbedhaloablut left | 09:06 |
| ← fling left | 09:06 |
| ← FinnElija left | 09:06 |
| → fling joined | 09:06 |
| → ghost43_ joined | 09:06 |
| ← ghost43 left | 09:06 |
| → crabbedhaloablut joined | 09:06 |
| ← Aminda left | 09:08 |
| → FinnElija joined | 09:08 |
| → nate4 joined | 09:09 |
| → Aminda joined | 09:10 |
| → hqdruxn08 joined | 09:12 |
| ← peirik left | 09:13 |
| ← nate4 left | 09:14 |
| ← Aminda left | 09:15 |
| → cyber_heretic joined | 09:16 |
| → menace joined | 09:16 |
| ← menace left | 09:16 |
| → menace joined | 09:16 |
| menace → Deknos | 09:16 |
| ← cyber_heretic left | 09:16 |
| → Aminda joined | 09:32 |
| → kenanmarasli joined | 09:42 |
| → dionysus69 joined | 09:44 |
| ← fling left | 09:47 |
| ← crabbedhaloablut left | 09:47 |
| → crabbedhaloablut joined | 09:47 |
| → fling joined | 09:48 |
| ← adanwan left | 09:51 |
| → adanwan joined | 09:51 |
| ← reset left | 09:54 |
| → wallabra_ joined | 09:57 |
| → reset joined | 09:57 |
| ← wallabra left | 09:58 |
| → peirik joined | 09:58 |
| wallabra_ → wallabra | 09:59 |
| ← Sazhen86 left | 10:00 |
| ← adanwan left | 10:01 |
| → adanwan joined | 10:02 |
| → skapata joined | 10:07 |
| ← skapata left | 10:07 |
| → skapata joined | 10:07 |
| ← cristiioan left | 10:11 |
| ← Hi-Angel left | 10:13 |
| ← magic_ninja left | 10:14 |
| ← maret left | 10:15 |
| → maret joined | 10:15 |
| → magic_ninja joined | 10:15 |
| ← OnkelTem left | 10:24 |
| ← peirik left | 10:25 |
| → gas51627 joined | 10:32 |
| → gxt_ joined | 10:34 |
| ← gxt left | 10:35 |
| ← vishal left | 10:36 |
| → himint joined | 10:37 |
| → vishal joined | 10:38 |
| ← hiroot left | 10:40 |
| ← luffy left | 10:43 |
| → luffy joined | 10:43 |
| → cdown joined | 10:45 |
| ← gxt_ left | 10:47 |
| → gxt_ joined | 10:48 |
| ← PocketLagger left | 10:51 |
| → PocketKiller joined | 10:52 |
| ← schoty left | 10:52 |
| → schoty joined | 10:54 |
| → cyber_heretic joined | 10:55 |
| ← maret left | 10:57 |
| ← indy left | 10:59 |
| → indy joined | 10:59 |
| ← feriman left | 11:02 |
| → ZacSharp joined | 11:04 |
| → feriman joined | 11:07 |
| ← bkircher left | 11:08 |
| → fuzzybear396575 joined | 11:09 |
|
fuzzybear396575
| I have a branch foo on top of a branch bar on top of a branch staging. | 11:09 |
|
| I want to put foo on top of staging. | 11:09 |
| → pretty_dumm_guy joined | 11:09 |
|
fuzzybear396575
| I think this is a use case for git rebase --onto but I'm scared to execute. | 11:09 |
|
| Does anyone know how to do what I want? foo and bar would be in parallel on staging, thten. | 11:10 |
|
| *then. | 11:10 |
|
selckin
| checkout branch foo, git rebase staging | 11:10 |
| ← indy left | 11:10 |
|
fuzzybear396575
| selckin It says it's already up to tdate. | 11:10 |
|
| *date. | 11:10 |
|
| Because foo is on top of bar which is on top of sttaging. | 11:10 |
|
| *staging. | 11:10 |
| → thiago joined | 11:11 |
|
fuzzybear396575
| I think it's git rebase --onto staging foo. | 11:11 |
|
| I'm going to try it. | 11:11 |
|
selckin
| sounds like you made a big mess | 11:12 |
| → indy joined | 11:12 |
|
fuzzybear396575
| Not really. | 11:12 |
|
selckin
| you have a - b - c, and want to remove b to have a - c | 11:13 |
|
| either way, crazy branching strategies going on | 11:14 |
| → peirik joined | 11:15 |
|
fuzzybear396575
| It's actually a common case that's documented in `git rebase --help`. | 11:17 |
|
| It was just git rebase --onto staging bar foo | 11:17 |
|
| https://git-scm.com/docs/git-rebase | 11:18 |
|
| > This is useful when topicB does not depend on topicA. | 11:18 |
| ← indy left | 11:19 |
| ← Murr left | 11:20 |
| → Murr joined | 11:21 |
| ← ZacSharp left | 11:26 |
| → indy joined | 11:26 |
| ← fuzzybear396575 left | 11:28 |
| ← indy left | 11:30 |
| ← peirik left | 11:32 |
| → indy joined | 11:33 |
| ← luffy left | 11:36 |
| → luffy joined | 11:37 |
| → cousteau joined | 11:43 |
|
cousteau
| Hi | 11:43 |
| ← adanwan left | 11:43 |
| ← LuKaRo left | 11:43 |
| ← luffy left | 11:44 |
| ← indy left | 11:44 |
|
cousteau
| Imaagine I want to use the pattern "https://github.com/foo/bar.git" as a replacement for both "git://github.com/foo/bar.git" and "git@github.com:foo/bar.git". What config options do I need? | 11:44 |
| → froyo joined | 11:44 |
| → adanwan joined | 11:44 |
| → epony joined | 11:46 |
|
cousteau
| If I do `git config url.'https://github.com/'.insteadOf 'git://github.com/'` that takes care of the first replacement | 11:46 |
|
| If I then do `git config url.'https://github.com/'.insteadOf 'git@github.com:'` that would take care of the second replacement... but it removes the first replacement | 11:46 |
| → indy joined | 11:47 |
| → LuKaRo joined | 11:47 |
|
cousteau
| also, if I do something like the former, and then `git config url.'http://github.com/'.insteadOf 'git://github.com/'`, I will have two conflicting candidates for a replacement of 'git://gitnub.com/*' URLs | 11:47 |
| → maret joined | 11:48 |
| → indy_ joined | 11:53 |
| ← indy left | 11:54 |
|
cousteau
| the documentation says "when more than one insteadOf strings match a given URL, the longest match is used", but in this case the two URLs are identical, so it's a tie | 11:55 |
| → Hi-Angel joined | 11:55 |
| ← cyber_heretic left | 11:56 |
| → lucasta joined | 11:56 |
| ← indy_ left | 11:58 |
| ← himint left | 11:59 |
| ← austin987 left | 12:02 |
| → indy joined | 12:02 |
|
cousteau
| I have the impression that this config param is specified the wrong way around; it should be `url.<oldbase>.replaceWith = <newbase>`, not `url.<newbase>.insteadOf = <oldbase>` | 12:04 |
| ← Deknos left | 12:04 |
|
cousteau
| ...guess I'll nag the people at #git-devel or the mailing list | 12:05 |
| ← indy left | 12:06 |
| → indy joined | 12:07 |
| → peirik joined | 12:10 |
| ← maret left | 12:12 |
| ← Seng left | 12:13 |
| → bambanxx joined | 12:13 |
| ← indy left | 12:14 |
| → fuzzybear396515 joined | 12:14 |
|
fuzzybear396515
| Where can I post git graphs? | 12:14 |
|
| I have a question about how a particular branching history came-to-be. | 12:15 |
|
| Git forensics... | 12:15 |
|
| https://pastebin.com/qCUZ9gF0 | 12:15 |
|
| The diffs on origin/staging and staging commits are identical for all commits whose messages are in common. | 12:16 |
|
| My CTO force-pushed to origin/staging and when I fetched later I see this weird history. | 12:16 |
|
| What did he do? | 12:16 |
|
| osse Maybe you're around :pray? | 12:16 |
|
osse
| of course i am | 12:16 |
|
fuzzybear396515
| :') | 12:16 |
|
osse
| the CTO rebased the staging branch and then force pushed | 12:17 |
|
fuzzybear396515
| Rebased the staging branch on `main`? | 12:17 |
|
cousteau
| I recall there was a graph pasting tool | 12:17 |
|
osse
| can't tell from this | 12:17 |
|
| he rewrote it one way or another | 12:17 |
|
fuzzybear396515
| cousteau I was hoping there was one. | 12:17 |
|
| osse I've diffed the first descendant of main on both branches and they're identical. | 12:17 |
|
| Shouldn't they have the same commit SHA? | 12:17 |
|
osse
| fuzzybear396515: git diff fee88fa 2504701 ? | 12:18 |
|
| fuzzybear396515: the commit sha1 is still affected by the timestamp, author and message. | 12:19 |
|
fuzzybear396515
| That commit's ambiguous. 1s. | 12:19 |
|
osse
| maybe he fixed a typo or something | 12:19 |
|
fuzzybear396515
| Oh, I was in the wrong repo when I ran that diff. :facepalm: | 12:20 |
|
| osse Yeah, I diffed those. There's no difference. | 12:20 |
|
osse
| fuzzybear396515: then compare git log -1 --pretty=fuller fee88fa and 2504701 | 12:20 |
|
fuzzybear396515
| Maybe author changed? | 12:20 |
|
cousteau
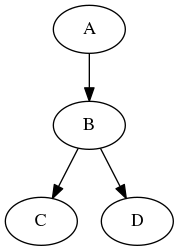
| Found it, the Graph Generator Thingy! https://gitirc.eu/g/ | 12:21 |
|
| example: https://gitirc.eu/g/Rb.png | 12:21 |
|
| you paste input like `A -> B -> C; B -> D` and it will generate the corresponding graph | 12:21 |
|
| ...not sure if that's what you wanted | 12:22 |
|
fuzzybear396515
| osse Okay, the Committer and the CommitDate changed. | 12:22 |
| → indy joined | 12:22 |
|
fuzzybear396515
| The "rebased" branch (origin/staging) has an updated timestamp | 12:22 |
|
osse
| that's the only difference?? sounds like he rebased for no good reason then | 12:22 |
|
fuzzybear396515
| Also, the email address is a github email address on the origin/staging branch. Probably pushed a button in GitHub. | 12:23 |
|
osse
| maybe there is a meaningful change in one of the later commits and the whole branch was rewritten for some reason | 12:23 |
|
| can try the same exercise with the tip of the branches | 12:23 |
|
fuzzybear396515
| There's only one commit diffference between the two branches and it's on the tip of origin/staging. | 12:24 |
|
osse
| well... the tip of staging and the second newest on origin/staging | 12:24 |
|
fuzzybear396515
| Right. | 12:24 |
|
| The git diff for all of those commits is empty. | 12:24 |
|
cousteau
| osse: maybe he rebased, realized that was the wrong thing to do, and re-rebased back | 12:24 |
|
osse
| cousteau: heh, could be. but why would he push then :p | 12:24 |
|
fuzzybear396515
| I'm trying to figure out what he did because it's messing up the PRs that are based on staging and he's refusing to acknowledge that it's s strange. | 12:24 |
|
cousteau
| maybe he had already pushed it? | 12:25 |
|
fuzzybear396515
| What did he _do_ though? | 12:25 |
|
| We had a staging branch, it was ahead of main (that's clear from the graph). | 12:25 |
|
osse
| is it out of the question to ask him? | 12:25 |
|
| maybe he intentionally changed the emails and that was that | 12:25 |
|
fuzzybear396515
| It's not out of the question. I asked him. I told him "You shouldn't need to force push to staging when we merge staging into main, since staging is on top of main, already". | 12:26 |
|
| He said "yep if I rebase with main". | 12:26 |
|
| Then I said "Why is staging not on top of main, already?" then he said "because of the merge". | 12:27 |
| ← indy left | 12:27 |
|
osse
| from this graph alone it's impossible to tell what he did. we only see the effects of what he did. | 12:28 |
|
| and to me it looks like a pointless rebase | 12:28 |
|
fuzzybear396515
| osse Okay. | 12:28 |
| ← froyo left | 12:28 |
| → froyo joined | 12:29 |
|
osse
| normally git just does nothing when there's nothing to do in these situations though | 12:29 |
| ← peirik left | 12:29 |
|
fuzzybear396515
| Right? | 12:29 |
|
cousteau
| does diff -u <(git cat-file -s 2504701) <(git cat-file -s fee88fa) only change the committer line? | 12:30 |
| ← lucasta left | 12:30 |
| → vertreko joined | 12:30 |
|
fuzzybear396515
| cousteau I'm not sure what this command should tell me. I ran it and I got | 12:31 |
|
| $ diff -u <(git cat-file -s 2504701) <(git cat-file -s fee88fa) | 12:31 |
|
| --- /proc/self/fd/11 2022-08-25 13:30:29.394850450 +0100 | 12:31 |
|
| +++ /proc/self/fd/12 2022-08-25 13:30:29.395850443 +0100 | 12:31 |
|
| @@ -1 +1 @@ | 12:31 |
|
| -300 | 12:31 |
|
| +271 | 12:31 |
| → lucasta joined | 12:32 |
| → maret joined | 12:33 |
| ← feriman left | 12:33 |
|
cousteau
| oops, -p not -s | 12:33 |
| ← maret left | 12:33 |
|
cousteau
| diff -u <(git cat-file -p 2504701) <(git cat-file -p fee88fa) | 12:34 |
| → indy joined | 12:34 |
|
osse
| or he could have done an interactive rebase, made a changed, regretted it and rebased back, like cousteau said, instead of reset --hard or whatever | 12:35 |
|
| but doesn't sound like that based on your conversation | 12:35 |
|
cousteau
| maybe he did an interactive rebase, realized it didn't work, tinkered until it worked, and force-pushed the thing, not realizing that what he had at the end was what he started with | 12:36 |
|
| maybe you could simply merge the two alternative timelines, for greater history confusion :P | 12:37 |
|
osse
| cousteau: As for the url stuff. I've no effing clue. I too think the way that config thing works is unnatural and the reverse would be more intuitive | 12:38 |
|
cousteau
| or force-push your branch! Start a force-push war! | 12:38 |
|
osse
| ♫ ♪ At the gay bar, gay bar ! ♪ | 12:39 |
| → feriman joined | 12:39 |
|
cousteau
| osse: the mailing list suggests it went like "yeah, the opposite feels more natural, but we've already implemented it this way, so who cares?" | 12:39 |
|
osse
| Makes sense | 12:39 |
| → peirik joined | 12:39 |
|
cousteau
| but in this case... I've found an actual reason NOT to do it this way, but the other way. This way is intrinsically buggy. If nobody realized that, it deserves being discussed on the mailing list. | 12:39 |
|
osse
| Go for it | 12:40 |
|
cousteau
| osse: unless you can tell me a way to make https://site0.com/ be used insteadOf both https://site1.com/ and https://site2.com/ | 12:40 |
| ← indy left | 12:40 |
|
cousteau
| in which case it's not really a bug | 12:40 |
| ← otisolsen70 left | 12:41 |
|
cousteau
| should I start a new thread, or somehow reply/append to that thread? | 12:41 |
|
osse
| Two config entries with the same value, noe? | 12:41 |
| → bloody joined | 12:42 |
|
osse
| Nvm, wrong way around haha | 12:43 |
|
| One config entry with two values for it I think should work | 12:44 |
|
fuzzybear396515
| cousteau Yeah, the only changes were committer and timestamp. I ran the cat-file -p . | 12:45 |
|
| cousteau I would love to force-push my branch. Unfortunately, I don't have force push to `staging` privileges. | 12:46 |
|
osse
| fuzzybear396515: On second thought, did you rebase your local staging onto main at some point during all of this? | 12:47 |
| → cristiioan joined | 12:48 |
|
fuzzybear396515
| osse No, I don't think so. | 12:48 |
|
| Actually, wait. | 12:49 |
|
| I do `git pull` and my `pull` config is --rebase. | 12:49 |
|
| So, implicitly, yeah. I think so. | 12:49 |
|
| But, our branches have the same base. | 12:49 |
| ← RiFo left | 12:49 |
|
fuzzybear396515
| And, his force-push to `staging` forced the divergence. | 12:49 |
|
| So, it wasn't my history diverging from the remote's because of local operations. | 12:50 |
|
osse
| Is the authordate and committerdate identical on your side? | 12:50 |
|
fuzzybear396515
| osse AuthorDate yes. CommitterDate no. | 12:50 |
|
| The CommitterDate of origin/staging corresponds to his force-push. | 12:50 |
|
| What are you thinking? | 12:51 |
|
osse
| fuzzybear396515: No I mean is the authordate the same as the committerdate on your side? | 12:51 |
|
fuzzybear396515
| Oh, no. They aren't. | 12:52 |
|
| The CommiterDate corresponds to when he merged my PR in. | 12:52 |
|
| The AuthorDate corresponds to when I committed the changes locally. | 12:52 |
| → bn_work joined | 12:53 |
|
osse
| To be clear, on your local staging, right. | 12:53 |
|
| ? | 12:53 |
|
fuzzybear396515
| On my local staging, right. | 12:53 |
|
osse
| Then I think I give up | 12:53 |
|
fuzzybear396515
| Hahaha | 12:53 |
| → RiFo joined | 12:54 |
| → derpydoo joined | 12:55 |
|
osse
| fuzzybear396515: ask him to send you the output of 'git reflog staging' and 'git reflog origin/staging' | 12:58 |
|
| kek | 12:58 |
|
fuzzybear396515
| osse I just told him to ping me the next time he feels the need to rewrite the history of staging (force push). | 12:59 |
|
| It's a consistent thing so I'm sure we'll have an opportunity to figure out what's going on soon. | 13:00 |
| → nate4 joined | 13:11 |
| ← nate4 left | 13:15 |
| ← peirik left | 13:15 |
| → maret joined | 13:16 |
| → absence joined | 13:17 |
|
absence
| i'm in an interactive rebase, edited a commit, did "git rebase --continue", and got a conflict. it then seems like a merge tool managed to screw up the files, so i want to get back to the point before i did "git rebase --continue" so i can try again. is that possible? | 13:19 |
|
heftig
| absence: I think you need to restart the rebase. but remember the ID of your commit post-edit, you can just reset to that one instead of re-amending | 13:22 |
|
| I mean, assuming you'd rather continue working on the already-edited commit | 13:23 |
| → dsrt^ joined | 13:24 |
| ← Xenguy left | 13:26 |
| → indy joined | 13:27 |
| → tyson2 joined | 13:30 |
| ← indy left | 13:31 |
| → causasui joined | 13:32 |
| ← dsrt^ left | 13:38 |
|
absence
| heftig: yes... so git rebase --abort, git rebase -i and select the same commit to edit, then what? git reset --hard id-of-edited-commit? | 13:39 |
|
heftig
| yeah | 13:40 |
| → OnkelTem joined | 13:40 |
| → Freeaqingme joined | 13:42 |
| → thomas25 joined | 13:44 |
| → Betal joined | 13:45 |
| → FH_thecat joined | 13:45 |
| ← FH_thecat left | 13:48 |
| → hamburgler joined | 13:49 |
| ← maret left | 13:51 |
| → mncheck joined | 13:52 |
| → gh34 joined | 13:53 |
| → maret joined | 13:54 |
| → arash joined | 14:02 |
|
absence
| heftig: worked, thanks! | 14:02 |
| → Frogging101 joined | 14:07 |
| ← maret left | 14:10 |
|
vlado
| when you develop a bigger feature and you maybe need to work on other branches, how do you do that? | 14:10 |
|
| stash everything, then switch | 14:10 |
|
| or making temp commits and rebase/squash them? | 14:10 |
|
heftig
| add another worktree? (`git worktree`) | 14:12 |
|
| but yeah, usually making temp commits | 14:12 |
|
thiago
| no need to stash | 14:12 |
|
| just commit your work before switching branches | 14:12 |
| → maret joined | 14:12 |
| ← wgrant left | 14:15 |
| → sudoforge joined | 14:21 |
| → gast0n joined | 14:21 |
| Kartagis- → Kartagis | 14:21 |
| → mthall joined | 14:25 |
| → wgrant joined | 14:29 |
| → Freeaqingme_ joined | 14:29 |
| ← Freeaqingme left | 14:31 |
| ← lucasta left | 14:31 |
| ← skapata left | 14:40 |
| → rama joined | 14:41 |
| ← mthall left | 14:45 |
| → mthall joined | 14:46 |
| → Thanzex joined | 14:47 |
| ← wgrant left | 14:47 |
| → Guest29 joined | 14:48 |
| → ChemicalRascal_ joined | 14:48 |
| ← feriman left | 14:49 |
| ← ChemicalRascal left | 14:51 |
| → amcsi joined | 14:53 |
|
amcsi
| hey, how can I list all stashes involving a certain file? | 14:53 |
| → zebrag joined | 14:55 |
| → jazzy joined | 14:55 |
| → vanessa joined | 14:57 |
| → dsrt^ joined | 14:57 |
| → tirnanog joined | 14:58 |
| ← tyson2 left | 14:58 |
| → wgrant joined | 15:00 |
| → LuxuryMode joined | 15:01 |
| ← OnkelTem left | 15:05 |
| ← gxt_ left | 15:07 |
| ← adanwan left | 15:07 |
| → adanwan joined | 15:07 |
| → gxt_ joined | 15:07 |
| → [twisti] joined | 15:09 |
| → TheCatBehemoth joined | 15:09 |
| ← dsrt^ left | 15:10 |
|
rfuentess
| and suddenly I grasp that "reflog" means "reference logs" instead of being a wordplay for bowl movement noises | 15:10 |
|
| my spanish mind played dirty with the "reflog" phonetic | 15:10 |
|
[twisti]
| im not sure this question belongs here, please let me know if you think the problem cant be solved in the git aspect. i am using composer for php to check out a dependency from a private gitlab instance. i specify the location like ssh://git@our-ip:someport/foo/bar/project.git. i try to check it out, and i get `Permission denied (publickey).`. i cannot do git or ssh -v for more information, because the concrete call is being abstracted away by composer. | 15:12 |
|
| i suspect the incorrect user name is used, since there seems to be no way to supply it. is there a way to supply the user used for ssh auth via environment variable maybe ? | 15:12 |
| ← vertreko left | 15:13 |
| ← Koeniz left | 15:14 |
| ← RiFo left | 15:18 |
| ← maret left | 15:19 |
|
thiago
| can you use git or ssh directly and make it work? | 15:23 |
|
| is there a git clone command that works? | 15:23 |
| → vitali64 joined | 15:27 |
| ← causasui left | 15:29 |
| → Koeniz joined | 15:30 |
| ← Guest29 left | 15:32 |
| → indy joined | 15:33 |
| ← malteger left | 15:35 |
| ← fuzzybear396515 left | 15:37 |
| ← coot left | 15:38 |
| → EvilDMP joined | 15:41 |
| → froyo7 joined | 15:43 |
| → ZacSharp joined | 15:43 |
| → rostero joined | 15:43 |
| ← froyo left | 15:45 |
| froyo7 → froyo | 15:45 |
|
vlado
| why does, in git docs, every reference is written like this: git-stash, git-workspace etc. and not just git stash | 15:46 |
|
| is there a reason for it? | 15:46 |
|
| it's a stupid question but yea | 15:47 |
| ← bambanxx left | 15:49 |
| → dsrt^ joined | 15:49 |
| ← atrigent left | 15:50 |
|
mackerman
| Many git sub commands were implemented as seperate scripts following that naming convention | 15:52 |
| → dhrv joined | 15:53 |
|
mackerman
| Today the core git commands are part of the git binary, although you will still see, probalby in some libexec dir, git-stash as a symlink back to the git binary. | 15:53 |
|
bremner
| it also avoids awkward quoting | 15:53 |
|
mackerman
| man page documentation is smart enough to resolve "man git stash" to git-stash.1 | 15:54 |
|
gitinfo
| the git-stash manpage is available at https://gitirc.eu/git-stash.html | 15:54 |
| ← amcsi left | 15:54 |
| → peirik joined | 15:57 |
|
nedbat
| vlado: also, if you have an executable thing called git-xyzzy on your path, then "git xyzzy" will run it. | 15:57 |
|
dhrv
| maybe not the right channel, but is there a way to count the loc updated between given two commits? | 15:58 |
| → ChmEarl joined | 15:59 |
|
nedbat
| dhrv: git diff --stat c1..c2 # or --numstat | 16:00 |
| → justinf210 joined | 16:00 |
|
dhrv
| thanks! | 16:00 |
| ← gryffus left | 16:01 |
| ← peirik left | 16:02 |
| ← justinf210 left | 16:08 |
| → tyson2 joined | 16:11 |
| → malteger joined | 16:11 |
| → justinf210 joined | 16:11 |
| ← dsrt^ left | 16:13 |
| → ramblebamble joined | 16:14 |
| → _vanessa_ joined | 16:14 |
| ← rfuentess left | 16:17 |
| ← vanessa left | 16:17 |
| → jamiejackson joined | 16:18 |
| → stutz joined | 16:18 |
| ← stutz left | 16:18 |
| → stutz joined | 16:18 |
| ← malteger left | 16:18 |
| → gryffus joined | 16:19 |
| → malteger joined | 16:20 |
| ← EvilDMP left | 16:22 |
| → rgrinberg joined | 16:27 |
| → tulpa_ joined | 16:27 |
| ← ramblebamble left | 16:28 |
| ← srinidhi left | 16:34 |
| ← justinf210 left | 16:34 |
| → madewokherd joined | 16:35 |
| ← zebrag left | 16:36 |
| → zebrag joined | 16:36 |
| _vanessa_ → vanessa | 16:37 |
| → maret joined | 16:41 |
| → feriman joined | 16:46 |
| ← vlado left | 16:47 |
| ← theobjectivedad left | 16:47 |
| → srinidhi joined | 16:47 |
| → theobjectivedad joined | 16:47 |
| ← theobjectivedad left | 16:47 |
| → theobjectivedad joined | 16:47 |
| ← rgrinberg left | 16:48 |
| → loulou joined | 16:50 |
| ← loulou left | 16:50 |
| → loulou joined | 16:50 |
|
human_g33k
| hello there is a way to "merge" 2 distinct repository in same directory ? | 16:52 |
|
| let says repo 1 with code source and repo 2 with ci-config-file | 16:53 |
| ← feriman left | 16:53 |
|
human_g33k
| and i want insert ci-config-file in the root of the repo 1 | 16:53 |
| ← dionysus69 left | 16:54 |
|
human_g33k
| i asking myself if there is something like submodule | 16:54 |
| → howdoi joined | 16:54 |
|
human_g33k
| that can feet that need | 16:54 |
|
cousteau
| you mean merge two completely different repo histories into one? | 16:54 |
|
human_g33k
| yes but only temporary | 16:55 |
|
| i want to trigger building from repo 2 recipe repo 1 when a new change occur | 16:56 |
|
| not sure i m clear | 16:56 |
| ← maret left | 16:56 |
|
human_g33k
| (at the end i know i can do it with bash script) | 16:56 |
|
cousteau
| not quite... maybe you just want to copy the one file from one repo to the other? | 16:56 |
|
human_g33k
| ^^ i know but i m not a git expert so i asking myself if there is an inside way | 16:57 |
|
cousteau
| in any case I'm not very good at merging and splitting and Frankensteining repos, but I know it can be done | 16:57 |
|
human_g33k
| it's more to not touch the upstream repo | 16:58 |
|
| i currently want to automate some build for quite ≠ language and software | 16:59 |
|
| thx btw i will go to the bash way | 17:00 |
| → maret joined | 17:03 |
| ← TheCatBehemoth left | 17:03 |
| → atrigent joined | 17:07 |
| → nate4 joined | 17:12 |
| → OnkelTem joined | 17:17 |
| ← nate4 left | 17:17 |
| ← Murr left | 17:20 |
| → dionysus69 joined | 17:20 |
| → Murr joined | 17:20 |
| ← tyson2 left | 17:24 |
| → rgrinberg joined | 17:24 |
| → feriman joined | 17:27 |
| ← dhrv left | 17:41 |
| ← Hi-Angel left | 17:44 |
| ← thiago left | 17:49 |
| → thiago joined | 17:49 |
| ← vanessa left | 17:54 |
| ← cristiioan left | 17:55 |
| → vanessa joined | 17:55 |
| ← igemnace left | 17:58 |
| → EvilDMP joined | 18:00 |
| → Guest92 joined | 18:00 |
| ← LuxuryMode left | 18:01 |
| → cristiioan joined | 18:02 |
| ← rostero left | 18:02 |
| → JordiGH joined | 18:02 |
|
JordiGH
| What's the difference between ort and recursive merges? The manpage for both is almost identical. | 18:03 |
|
| Like, literally copy-pasted. | 18:03 |
| ← nyah left | 18:04 |
| ← EvilDMP left | 18:06 |
| ← feriman left | 18:06 |
| ← ZacSharp left | 18:06 |
| → feriman joined | 18:08 |
| ← Guest92 left | 18:09 |
| → EvilDMP joined | 18:10 |
|
cousteau
| JordiGH: ort is the "Ostensively Recursive's Twin", so it would make sense that they are similar | 18:14 |
|
| but mow I'm curious too | 18:15 |
| → EvilDMP_ joined | 18:16 |
|
JordiGH
| afaict, the only difference is that ort takes more options. | 18:16 |
|
| It's also supposed to be a dumb pun. | 18:16 |
|
| git merge -s ort | 18:16 |
| ← EvilDMP left | 18:16 |
|
JordiGH
| Git coming up with stupid names on its UI as usual. | 18:17 |
|
cousteau
| well, for one fact, the definition of "recursive" removes some instances of the word "strategy" >:( | 18:17 |
|
| I think that ort is newer so it must be better / more sophisticated | 18:18 |
| → EvilDMP joined | 18:19 |
| ← Noisytoot left | 18:20 |
| ← EvilDMP_ left | 18:20 |
|
cousteau
| ok I can confirm that the definitions are identical except for a few missing words "strategy", etymology and history, and the extra options | 18:20 |
|
| it is possible that ort is simply recursive with some different defaults | 18:21 |
|
| > Note that ort specifically uses diff-algorithm=histogram, while recursive defaults to the diff.algorithm config setting. | 18:22 |
|
JordiGH
| Yeah, I diffed the two paragraphs too. | 18:23 |
| ← EvilDMP left | 18:23 |
|
JordiGH
| idgi, if the point was to change the default... why not just change it? | 18:24 |
|
| Because ort is now the default. | 18:24 |
| ← gast0n left | 18:24 |
|
JordiGH
| I guess maybe just as a concession to people who specifically had called out recursive in their gitconfig? | 18:24 |
| → rsx joined | 18:25 |
| → Noisytoot joined | 18:26 |
|
cousteau
| https://github.blog/2021-08-16-highlights-from-git-2-33/#merge-ort-a-new-merge-strategy suggests ort is "written from scratch" and "much faster" and "more maintainable" | 18:26 |
|
| "The real win is that merge-ort consistently performs at that fast speed while merge-recursive has high variance." | 18:27 |
|
| Do we take github blog's word as valid, or do we keep searching other sources? | 18:27 |
| → EvilDMP joined | 18:28 |
|
cousteau
| https://lore.kernel.org/git/4a0f088f3669a95c7f75e885d06c0a3bdaf31f42.1628055482.git.gitgitgadget@gmail.com/ claims that ort was more successful in some tests than recursive (recursive failed in some cases where ort succeeded, but not the other way around) | 18:30 |
|
| although the documentation may lead to think that ort is functionally equivalent to recursive with some defaults changed | 18:30 |
| → tyson2 joined | 18:31 |
| ← Lord_of_Life left | 18:34 |
| ← rsx left | 18:34 |
|
cousteau
| JordiGH: maybe because ort removed some options? | 18:35 |
| → Lord_of_Life joined | 18:35 |
|
cousteau
| then again... "ort with option X which isn't supported by ort is implemented by calling recursive with that option instead of ort", bam, solved | 18:36 |
|
JordiGH
| Seems... weird. | 18:37 |
|
| Just change the implementation, do the other algorithm in the background if an unsupporetd option is given. | 18:37 |
|
| ah well, c'est la guitte | 18:37 |
|
cousteau
| yeah that's what I meant | 18:37 |
|
JordiGH
| I mean, no need to expose anything different to the user. | 18:37 |
|
cousteau
| call them recursive and ors? | 18:38 |
|
| old recursive strategy | 18:38 |
|
JordiGH
| git merge --the-unsupported-ort-option=lolomgwtf # Ah, we'll use the old algorithm, nbd. | 18:38 |
| → coot joined | 18:38 |
|
JordiGH
| No need to copy-paste a paragraph and most of the options and give it a whole new name. | 18:38 |
|
| But there's no point arguing about git UI. | 18:39 |
|
cousteau
| am I gonna need to look up nbd now? | 18:39 |
|
JordiGH
| "no big deal" | 18:39 |
|
cousteau
| ah thanks | 18:39 |
|
| was trying to figure it out | 18:39 |
| ← cristiioan left | 18:41 |
| → Rashad joined | 18:42 |
| → cristiioan joined | 18:42 |
| ← mbalmer left | 18:43 |
| → bambanxx joined | 18:46 |
| ← rgrinberg left | 18:48 |
| ← tyson2 left | 18:48 |
| → Hi-Angel joined | 18:50 |
| ← indy left | 18:53 |
| → tyson2 joined | 18:57 |
| → indy joined | 18:57 |
| ← maret left | 18:57 |
| ← gxt_ left | 19:03 |
| → gxt_ joined | 19:05 |
| ← Rashad left | 19:05 |
| → darkstardev13 joined | 19:05 |
| → Nei_ joined | 19:05 |
| → tykling_ joined | 19:05 |
| → tchan1 joined | 19:05 |
| → hernan_ joined | 19:05 |
| → escherial joined | 19:05 |
| ← tykling left | 19:05 |
| → rhe joined | 19:05 |
| → phylaz joined | 19:06 |
| → Dreadnaught joined | 19:06 |
| → Jck_true joined | 19:06 |
| ← Koeniz left | 19:06 |
| ← tchan1 left | 19:06 |
| Nei_ → Nei | 19:06 |
| → tchan1 joined | 19:06 |
| → Koeniz joined | 19:06 |
| tchan1 → tchan | 19:07 |
| ← Kulrak left | 19:07 |
| ← cristiioan left | 19:08 |
| ← Dreadnaught left | 19:10 |
| → Dreadnaught joined | 19:10 |
| ← Betal left | 19:11 |
| → cristiioan joined | 19:13 |
| ← tyson2 left | 19:13 |
| ← EvilDMP left | 19:14 |
| ← vitali64 left | 19:14 |
| → bloody_ joined | 19:16 |
| ← cristiioan left | 19:17 |
| ← bloody left | 19:19 |
| ← ulmanak left | 19:19 |
| → cristiioan joined | 19:23 |
| → cristiioan_ joined | 19:26 |
| → Betal joined | 19:26 |
| ← cristiioan left | 19:28 |
| cristiioan_ → cristiioan | 19:28 |
| ← bambanxx left | 19:28 |
| ← cristiioan left | 19:31 |
| → cristiioan joined | 19:31 |
| ← OnkelTem left | 19:32 |
| ← coot left | 19:34 |
| → nyah joined | 19:35 |
| ← theoceaniscool left | 19:36 |
| → coot joined | 19:37 |
| ← myme1 left | 19:40 |
| ← coot left | 19:43 |
| → EvilDMP joined | 19:45 |
| ← cristiioan left | 19:48 |
| ← EvilDMP left | 19:49 |
| ← cambrian_invader left | 19:51 |
| ← enkeyz left | 19:53 |
| → EvilDMP joined | 19:54 |
| → enkeyz joined | 19:55 |
| → bambanxx joined | 19:56 |
| ← enkeyz left | 19:56 |
| → EvilDMP_ joined | 20:02 |
| ← EvilDMP left | 20:03 |
| → Telgareith0 joined | 20:07 |
| ← TonyStone left | 20:07 |
| ← Telgareith left | 20:08 |
| Telgareith0 → Telgareith | 20:08 |
| → theoceaniscool joined | 20:12 |
| ← EvilDMP_ left | 20:15 |
| ← carl-- left | 20:18 |
| → tyson2 joined | 20:20 |
| → Sasazuka joined | 20:25 |
| ← The_Blode left | 20:25 |
| → EvilDMP joined | 20:27 |
| → ferdna joined | 20:28 |
| ← bn_work left | 20:32 |
| ← srinidhi left | 20:32 |
| ← bambanxx left | 20:34 |
| → EvilDMP_ joined | 20:35 |
| ← EvilDMP left | 20:36 |
| ← Hi-Angel left | 20:36 |
| → Guest92 joined | 20:37 |
| → Hi-Angel joined | 20:38 |
| → bambanxx joined | 20:38 |
| → TonyStone joined | 20:39 |
| ← jamiejackson left | 20:45 |
| → stewie925 joined | 20:46 |
| ← Coop left | 20:47 |
| ← bambanxx left | 20:47 |
| → lucasta joined | 20:47 |
| ← Guest92 left | 20:47 |
| → bambanxx joined | 20:50 |
|
JordiGH
| Oh, you can just write git merge -sort. | 20:52 |
|
| lol? | 20:52 |
| → EvilDMP joined | 20:53 |
| → skapata joined | 20:53 |
| ← skapata left | 20:53 |
| → skapata joined | 20:53 |
| → peirik joined | 20:53 |
| → bridgefan joined | 20:56 |
| ← EvilDMP_ left | 20:56 |
| → ZacSharp joined | 21:03 |
| ← bridgefan left | 21:05 |
| → cambrian_invader joined | 21:08 |
| → Rashad joined | 21:10 |
| ← kevr left | 21:13 |
|
cousteau
| yeah, short options do that | 21:13 |
| → nate4 joined | 21:14 |
| → kevr joined | 21:14 |
|
cousteau
| well, depending on the program | 21:14 |
|
| -<letter> <argument> can also be written -<letter><argument> for options with an argument | 21:15 |
| ← bambanxx left | 21:17 |
| ← peirik left | 21:17 |
| ← nate4 left | 21:18 |
| → peirik joined | 21:19 |
| ← cambrian_invader left | 21:22 |
|
cousteau
| same as how you can write `gcc ... -lm` as `-l m` or `-I.` as `-I .` or `-DMACRO` as `-D MACRO` | 21:22 |
| → TheChillenial joined | 21:23 |
| → TheCatBehemoth joined | 21:24 |
| → cambrian_invader joined | 21:26 |
| ← derpydoo left | 21:29 |
| ← EvilDMP left | 21:30 |
| → bambanxx joined | 21:38 |
| → Coop joined | 21:40 |
| ← peirik left | 21:44 |
| ← zeenk left | 21:44 |
| ← loulou left | 21:49 |
| → gustik joined | 21:51 |
| ← Sasazuka left | 21:52 |
| ← bambanxx left | 21:53 |
| → Anarchic joined | 21:54 |
| ← Anarchic left | 21:54 |
| → Anarchic joined | 21:55 |
| ← gh34 left | 21:58 |
| → justinf210 joined | 21:58 |
| ← jinsun left | 22:02 |
| → jinsun joined | 22:04 |
| → peirik joined | 22:05 |
| → Sasazuka joined | 22:06 |
| ← justinf210 left | 22:07 |
| ← TheChillenial left | 22:07 |
| → Xenguy joined | 22:08 |
| ← peirik left | 22:09 |
| → adanwan_ joined | 22:11 |
| ← adanwan left | 22:11 |
| ← tyson2 left | 22:14 |
| → justinf210 joined | 22:14 |
| → ash_worksi joined | 22:14 |
| ← Colere left | 22:15 |
|
ash_worksi
| how do I add parts of changes to a commit again? I thougth it was `git add -i` but that doesn't look right | 22:15 |
|
cousteau
| git add -p? or --patch | 22:15 |
|
ash_worksi
| oh is it "patch" | 22:15 |
|
| weird | 22:15 |
|
cousteau
| yep :) | 22:15 |
|
| because it is formatted like a patch | 22:16 |
|
ash_worksi
| I for some reason thought that would do something else | 22:16 |
|
| yeah | 22:16 |
|
cousteau
| I guess | 22:16 |
| → Colere joined | 22:16 |
|
cousteau
| I think I always use --patch instead of -p because -p is a bit meaningless | 22:16 |
| ← justinf210 left | 22:20 |
|
ash_worksi
| okay, something has confused me. I was in --patch mode and on a very specific file whose changes I specifically wanted to divy up into separate commits, all the changes were presented as 1 hunk | 22:21 |
|
| the changes are actually interspliced; like if there are 4 changes, and 2 are for commit A and 2 for commit B, the would appear in order in the file as: A B A B | 22:21 |
| → kevr_ joined | 22:22 |
| → Lunatrius` joined | 22:22 |
| ← thekingofbandit left | 22:23 |
| ← feriman left | 22:23 |
| → neightchan joined | 22:23 |
|
cousteau
| you will probably need to manually edit the hunk | 22:23 |
| ← kevr left | 22:24 |
| kevr_ → kevr | 22:24 |
| → thekingofbandit joined | 22:24 |
| → cdleonard9 joined | 22:24 |
| → omnigoat5 joined | 22:24 |
| → brw6 joined | 22:24 |
| → Cienisty joined | 22:24 |
| → realies2 joined | 22:24 |
| ← Rashad left | 22:25 |
| → Visne_ joined | 22:25 |
|
cousteau
| OR, or, you can create a backup of the file, edit the file so that it undoes the B changes and only preserves the A changes, git add that (with or without -p), and then restore the file | 22:25 |
| → matt0x6f_ joined | 22:25 |
| → fossdd_ joined | 22:25 |
|
cousteau
| might be easier than fighting with artificial diffs | 22:25 |
|
ash_worksi
| makes sense | 22:25 |
| → rishi`` joined | 22:25 |
| → cespare_ joined | 22:25 |
| → ludovicchabant_ joined | 22:25 |
| → shush_ joined | 22:25 |
| → bertiger_ joined | 22:25 |
| → tcurdt joined | 22:25 |
| → lcn_ joined | 22:25 |
| → wyre_ joined | 22:25 |
| → DvdKhl joined | 22:25 |
| → hashwork- joined | 22:25 |
| → moviuro_ joined | 22:25 |
|
ash_worksi
| why wouldn't it present these as separate hunks from the start though? | 22:25 |
| → ProperN[out] joined | 22:25 |
| → t0mm13b_ joined | 22:25 |
| → Trieste_ joined | 22:25 |
| → Celeo_ joined | 22:26 |
| → qwd- joined | 22:26 |
| ← canton7 left | 22:26 |
| → vicky__ joined | 22:26 |
| → h4x0riz3d joined | 22:26 |
| → jakesyl____ joined | 22:26 |
| → Manouchehri_ joined | 22:26 |
| → Wolf481pl joined | 22:26 |
|
cousteau
| ash_worksi: what do you mean? | 22:26 |
| → cluelessperson_ joined | 22:26 |
| → CelestiaIsTheWay joined | 22:26 |
|
cousteau
| two consecutive lines of code, or too close together, are going to be identified as a single hunk | 22:27 |
| → Gamah_ joined | 22:27 |
| → tulpa__ joined | 22:27 |
|
cousteau
| if they are separated, you can split them with ...I think it was '/' | 22:27 |
| → gryffus_ joined | 22:27 |
| → kapil_ joined | 22:27 |
|
cousteau
| maybe you can separate the hunk down to a line level using split multiple times | 22:27 |
|
ash_worksi
| '/' ? | 22:27 |
| → haasn` joined | 22:27 |
| → bleb_ joined | 22:27 |
| → eqw_ joined | 22:27 |
| → Walex joined | 22:27 |
| → jjakob_ joined | 22:28 |
| → teear_ joined | 22:28 |
| → kandinsk1 joined | 22:28 |
| → nyah_ joined | 22:28 |
| → BlessJah_ joined | 22:28 |
| → oj_ joined | 22:28 |
| → glider_ joined | 22:28 |
| → madduck_ joined | 22:28 |
| → mjt0k_ joined | 22:28 |
| → pretty_d1 joined | 22:28 |
| → Fischmiep joined | 22:28 |
| → Betal_ joined | 22:28 |
|
cousteau
| ah no, 's' for split | 22:28 |
|
ash_worksi
| I mean, if I were to label lines as ABX with X being lines that havent changed its like: XXXX A XXXXX B XXXXX A XXX B XXXX | 22:28 |
|
cousteau
| '/' to search | 22:28 |
| → YellowSu1 joined | 22:28 |
| ← YellowSuB left | 22:28 |
| YellowSu1 → YellowSuB | 22:28 |
| → OnkelTem joined | 22:28 |
|
ash_worksi
| oh | 22:28 |
|
| I see | 22:28 |
|
cousteau
| ash_worksi: ah, yeah those should be separate hunks | 22:29 |
|
cbreak
| if splitting doesn't work, you can manually edit these things too | 22:29 |
| → Quack joined | 22:29 |
|
cousteau
| or if there aren't enough X between them, 's' will take care of that | 22:29 |
|
cbreak
| but that's quite unintuitive | 22:29 |
|
cousteau
| yeah, manually editing the hunk as a diff is feasible, but rather hard | 22:29 |
|
ash_worksi
| splitting seems to be working... I just don't know why it presented me with a single hunk | 22:29 |
|
cousteau
| maybe they were too close together | 22:30 |
|
ash_worksi
| ¯\_(ツ)_/¯ | 22:30 |
|
| thanks though | 22:30 |
|
cousteau
| if it would've been shown as a single hunk in a diff, it'll be shown as a single hunk in git add -p | 22:30 |
| → Peng__ joined | 22:30 |
| → x88x88x joined | 22:31 |
| → madprops_ joined | 22:31 |
| → jab416171 joined | 22:31 |
|
OnlineCop
| When I do `git checkout <commit-ish> -- path`, it adds the files to the (index? staging area? I forget the correct term). I can then `git reset .` to un-add them. Is there a command that would do it at the same time? | 22:32 |
| ← nyah left | 22:33 |
| ← Betal left | 22:33 |
| ← tulpa_ left | 22:33 |
| ← gryffus left | 22:33 |
| ← pretty_dumm_guy left | 22:33 |
| ← mw_ left | 22:33 |
| ← jjakob left | 22:33 |
| ← BlessJah left | 22:33 |
| ← Visne left | 22:33 |
| ← splud left | 22:33 |
| ← elastic_dog left | 22:33 |
| ← hashworks left | 22:33 |
| ← vicky_ left | 22:33 |
| ← moviuro left | 22:33 |
| ← avu left | 22:33 |
| ← Raito_Bezarius left | 22:33 |
| ← madprops left | 22:33 |
| omnigoat5 → omnigoat | 22:33 |
| Trieste_ → Trieste | 22:33 |
| ludovicchabant_ → ludovicchabant | 22:33 |
| shush_ → shush | 22:33 |
| fossdd_ → fossdd | 22:33 |
| bleb_ → bleb | 22:33 |
| brw6 → brw | 22:33 |
| realies2 → realies | 22:33 |
| Visne_ → Visne | 22:33 |
| DvdKhl → Arokh | 22:33 |
| matt0x6f_ → matt0x6f | 22:33 |
| cdleonard9 → cdleonard | 22:33 |
| Lunatrius` → Lunatrius | 22:33 |
| vicky__ → vicky_ | 22:33 |
| cespare_ → cespare | 22:33 |
| haasn` → haasn | 22:33 |
| lcn_ → lcn | 22:33 |
| madduck_ → madduck | 22:33 |
| Manouchehri_ → Manouchehri | 22:33 |
| → elastic_dog joined | 22:33 |
| ← skapata left | 22:33 |
| ← TheCatBehemoth left | 22:33 |
|
ash_worksi
| OnlineCop: git restore ? | 22:34 |
|
| perhaps | 22:34 |
|
| (idk, don't really listen to me) | 22:34 |
| madprops_ → madprops | 22:35 |
| ← madprops left | 22:35 |
| → madprops joined | 22:35 |
|
cousteau
| OnlineCop: I thought git checkout -- <files> simply added them to the tree | 22:36 |
|
| the tree is the filesystem on disk | 22:36 |
|
OnlineCop
| Possibly. I haven't used `git restore`, and so I may be using checking in the wrong way. | 22:37 |
|
cousteau
| I thought git checkout <files> only did that, but didn't touch the head nor the index | 22:37 |
|
| head = the current commit, index = the staging area, the added files, when you do git checkout the index will become the new commit and the head will point to it | 22:37 |
| → Raito_Bezarius joined | 22:39 |
| → avu joined | 22:39 |
| → mw_ joined | 22:39 |
|
OnlineCop
| Looks like `git restore --source=tree <files>` might be what I should have been doing instead. | 22:39 |
| → splud joined | 22:40 |
| ← rama left | 22:40 |
| → rama joined | 22:40 |
| ← lolok left | 22:41 |
| → kadoban1 joined | 22:42 |
| ← jinsun left | 22:42 |
| → ike[m] joined | 22:44 |
| → gitinfo joined | 22:45 |
| ChanServ set mode: +o | 22:45 |
| jjakob_ → jjakob | 22:55 |
| ← pretty_d1 left | 22:55 |
| → Hayro joined | 22:55 |
| nyah_ → nyah | 22:58 |
| → user24037 joined | 23:00 |
| ← user24037 left | 23:00 |
| → user24037 joined | 23:00 |
| ← Hi-Angel left | 23:01 |
| → jinsun joined | 23:02 |
| ← Hayro left | 23:03 |
| ← pulse left | 23:04 |
| ← Misotauros left | 23:04 |
| → canton7 joined | 23:07 |
| ← cart_ left | 23:10 |
| ← kenanmarasli left | 23:12 |
| ← nyah left | 23:15 |
| ← Xenguy left | 23:17 |
| → luffy joined | 23:17 |
| → locness3 joined | 23:17 |
| ← lucasta left | 23:19 |
| ← tulpa__ left | 23:20 |
| → Misotauros joined | 23:24 |
| → rgrinberg joined | 23:27 |
| → dsrt^ joined | 23:31 |
| → bingos joined | 23:32 |
| → arescorpio joined | 23:32 |
| ← OnkelTem left | 23:35 |
| → irc_user joined | 23:40 |
| ← phogg left | 23:47 |
| → phogg joined | 23:49 |
| → bambanxx joined | 23:49 |
| ← phogg left | 23:50 |
| → phogg joined | 23:50 |
| ← stewie925 left | 23:55 |
| ← adanwan_ left | 23:57 |
| → adanwan joined | 23:58 |